Off the Shelf eBook Landing PageE-Books Library

E-Books Library

All your favorite books and authors in one place!

PDF, ePubs, MOBI, eMagazines, ePaper, eJournal and more
Download Now!
*Signup to Free Download E-Books

More than 10 million titles spanning every genre imaginable, at your fingertips. Get the best Books, Magazines & Comics in every genre including Action, Adventure, Anime, Manga, Children & Family, Classics, Comedies, Reference, Manuals, Drama, Foreign, Horror, Music, Romance, Sci-Fi, Fantasy, Sports and many more.

Book Description:
If you're keen on burying you in 1984 Answers For Study publications for hours, then you understand how boredom, distraction and restlessness can damage an normally very good go through. To be the top in reading, you must be Prepared and think of ways of making certain that you just keep on being hooked to your reading to find the most from the hobby. With so many guides available and tools for instance e-readers that let you examine your favorite e-book from your cell device, you only have to have for making a number of advancements to make sure that you will get the most out of every book studying session.

Choose interesting matters - There is often a style that works for somebody and you need to figure out what yours is. If you understand what topics desire you quite possibly the most, you will have A simpler time selecting a 1984 Answers For Study e book that you are sure to stay considering to the top.

Study because you need to read - The very last thing you ought to do is read through just because Everybody else all around you is examining. A fantastic reader is often a one that reads for their own individual pleasures and so even the choice of the 1984 Answers For Study guide really should be guided by your own desire. Hardly ever study to impress any one mainly because Then you certainly will only be losing your time.

Discover the right location to study - Whereas you'll find those who can atone for some looking at even when travelling in a loud bus, For anyone who is the sort that is well distracted, then you ought to find yourself a very good place to do your studying from. Ordinarily, the put needs to be silent and comfy therefore you will be able to rest and concentrate on the 1984 Answers For Study ebook that you will be reading. It's also wise to find yourself a studying situation that may be most comfortable; lying on a sofa, prop your toes, no matter what is effective for you personally.

Ensure that you haven't any other pending chores - Prior to deciding to even sit back to start looking at, Be sure that all other priorities are taken care of. When you've got a thing cooking, then wait until you are accomplished planning it prior to deciding to sit to browse. When you have absolutely nothing else to take care of, you will be able to give some excellent time to the reading and remain undistracted until eventually it is definitely time for a crack. Sit down to study only any time you know you can needless to say spare a superb period of time for it.

Examine in bursts as an alternative to marathon - Targeting to read through a book from protect to address in two days may be busy. In lieu of deciding on the marathon design which does not always generate to just about anything much, it is healthier that you choose the sprint type of examining. Snack, extend, nap, listen to music and perhaps acquire time to consider what you are reading between. This can be a great way of making sure that you just continue being mentally warn to continue; you need to in no way tire your intellect to a degree where you are merely passing about the strains and greedy very little from your 1984 Answers For Study reserve.

Enjoy reading through? Get free 1984 Answers For Study books to provide your genuine impression to authors and make some money when at it.

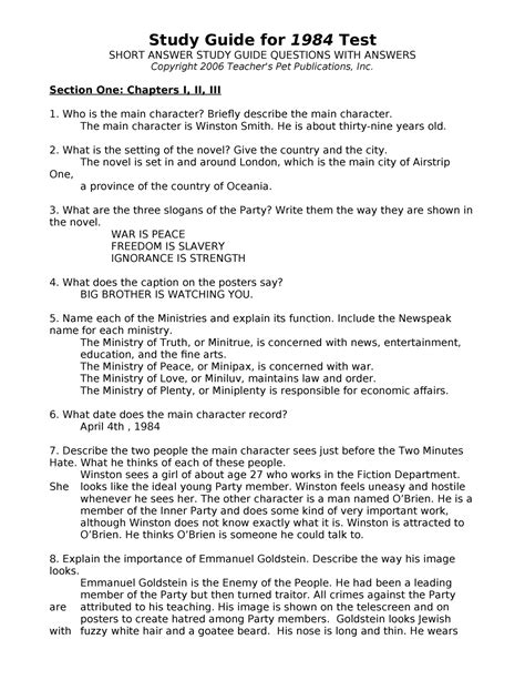
Title: - 1984 Answers For Study Guide
File Type: PDF EPUB MOBI.
Size: 7305 KB
Rating: 4.6/5 from 887 votes
Recent Member Activity

Loading...


Related Book : 1984 Answers For Study Guide


Members Online
  • Home
  • Contact
  • Privacy Policy
  • DMCA Notice

© Books Library. All rights reserved.

Scroll up